
液壓磚機由主機、泵站和控制柜組成,主機與泵站通過管件連接,它是液壓系統重要的組成部分,對整個設備的性能起著至關重要的作用,由于液壓管件種類很多,為了能讓大家選對材質和規格,我們就來對液壓磚機液壓系統中的關鍵作用和分類進行詳細介紹下。
管件包括油管和管接頭。
液壓系統用油管傳送液體,用管接頭把油管和元件連接起來。油管和管接頭應有足夠的強度,良好的密封,較小的壓力損失,并且拆裝方便。
一、油管
油管的種類有很多,如鋼管、銅管、尼龍管、塑料管、橡膠管等,要按照安裝位置、工作環境和工作壓力來正確選用,油管的特點及適用范圍如表6-5。
表6-5油管的特點及適用場合
|
種類 |
特點和適用場合 |
|
|
硬 管 |
鋼管 |
能承受高壓,價格低廉,耐油,抗腐蝕性好,剛性好,但裝配時不能任意彎曲,常用作壓力管道 ( 中高壓用無縫鋼管,低壓可用焊接管 ) |
|
紫銅管 |
易彎曲成各種形狀,管壁光滑,摩擦阻力小,但承壓能力一般不超過6.5 ~10MPa.抗振能力較弱,又易使油液氧化.通常用于儀表和控制裝置的小直徑油管 |
|
|
軟 管 |
尼龍管 |
乳白色半透明,加熱后可以隨意彎曲成形或擴口,冷卻后又能定形不變,承壓能力因材質而異,自 2.5MPa 至 8MYa不等 |
|
塑料管 |
質輕耐油,價格便宜,裝配方便,但承壓能力低,長期使用會變質老化,只宜用于壓力低于 0.5MPa的回油管和泄油管 |
|
|
橡膠管 |
高壓管由耐油橡膠夾幾層鋼絲紡織網制成,鋼絲網層數越多,耐壓越高,用來作中、高壓系統中兩個相對運動件之間的壓力通道 ; 低壓管由耐油橡膠類帆布制成,可用作回油管道 |
|
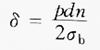
油管的規格尺寸(管道內徑和壁厚)可由下面公式算出后,查閱有關的標準選定:
(6-6)
(6-7)
式中 d——油管內徑;
Q——管內流量;
V——管中油液的流速,v的取值根據不同情況來取:吸油管取0.5~1.5m/s,高壓管取2.5~5m/s(①壓力高的取大值,低的取小值,例如:壓力在6MPa以上的取5m/s,在3~6MPa之間取4m/s,在3MPa以下的取2.5~3m/s,②管道較長的取小值,較短的取大值,③油液黏度大時取小值),回油管取1.5~2.5m/s,短管及局部收縮處取5~7m/s;
δ——油管壁厚;
P——管內工作壓力;
n——安全系數,對鋼管來說,p<7MPa時取n=8,7MPa≤p≤17.5MPa時取n=6,p>17.5MPa時取n=4;
σ——管道材料的抗拉強度。
油管的管徑不宜選得過大,以免使液壓裝置的結構龐大,但也不能選得過小,以免使管內液體流速加大、系統壓力損失增加或產生振動和噪聲,影響正常工作。
在強度保證的情況下,管壁可盡量選得薄些,薄壁易于彎曲,規格較多,裝接較易。
二、管接頭
管接頭是油管與油管、油管與液壓件之間的連接件,它必須具有裝拆方便、連接牢固、密封可靠、外形尺寸小、通流能力大、壓降小、工藝性好等各種要求。
管接頭種類很多,液壓系統中油管與管接頭的常見連接方式如表6-6。
表6-6 油管與管接頭連接的特點
|
名稱 |
結構簡圖 |
特點和說明 |
|
焊接式管接頭 |
|
(1) 制造工藝簡單,工作可靠,裝拆不便 (2) 必須采用厚壁鋼管,對焊接質量要求高,當工作壓力高時,焊縫往往成為它的薄弱環節 |
|
卡套式管接頭 |
|
(1) 用卡套卡住油管進行密封,軸向尺寸要求不嚴,裝拆簡便 (2) 對油管徑向尺寸精度要求較高,常用冷拔無縫鋼管 |
|
擴口式管接頭 |
|
(1) 用油管管端的擴口在管套的壓緊下進行密封,結構簡單 (2) 適用于銅管、薄壁鋼管、尼龍管和塑料管等低壓管道的連接 |
|
快速管接頭 |
|
(1) 適用于管路需經常拆卸處 (2) 圖示為油接通狀況 (3) 要拆卸時,把外套 8 向左推,同時拉出管 9 ,油路即斷開,這時彈黃 4 使外套 8 復位,錐閥 2 、 5 分別在彈簧 1 和 6 的作用下外伸,頂在件 3 和件 9 的閥座上而關閉油路,使兩邊的油都不會流出;需要接裝時,仍把外套 8 左推,同時插入管 9 ,此時,錐閥 2 和 5 相互擠緊而壓縮彈簧 1 、 6 ,使油路接通 |
以上是小編總結的有關液壓磚機關鍵的相關作用及分類,在選擇時應根據液壓磚機的壓力和工作環境進行選擇,還要考慮實際情況,選擇高壓、防腐蝕的橡膠油管。